Recikliranje polikarbonata
19.01.2022
V prispevku bomo predstavili recikliranje inženirskega termoplasta, ki se uporablja za izdelke s kratko življenjsko dobo in za katerega je zaželena možnost večkratnega mehanskega recikliranja. Tržno dostopne kakovosti so ali v linearni ali razvejani obliki, zato smo testirali obe izvedbi in jih medsebojno primerjali. Cilj raziskave je bil karakterizirati toplotne, mehanske in optične lastnosti termoplasta polikarbonata (PC) v linearni in razvejani obliki v odvisnosti od števila predelav. Degradacija se lahko v dobršni meri prepreči tudi s pravimi dodatki, zato smo hkrati dodali tudi dve različni koncentraciji podaljševalcev verig. Predelave smo simulirali z večkratnim ekstrudiranjem. Testne epruvete smo pripravili s postopkom brizganja po vsakokratnem večkratnem ekstrudiranju. Opazili smo, da so posamezne lastnosti linearno odvisne od števila predelav (npr. barvni ton), posamezne lastnosti pa linearne odvisnosti ne kažejo (natezna trdnost pri razvejanem PC). Lastnosti so v dobršni meri odvisne od količine dodanega podaljševalca verig pri linearni obliki PC, pri razvejani obliki PC je ta odvisnost težje zaznavna. Določene lastnosti so za linearni in razvejani PC ravno recipročne glede na število predelav, tako da je pri recikliranem PC zelo pomembno, v kakšnem razmerju je linearni in razvejani PC. S pravilnim »up-cyclingom« je možno izdelati reciklat PC, ki bo imel ravno prave lastnosti za določen izdelek, če predhodno poznamo lastnosti recikliranega PC.
1 UVOD
Polikarbonat se kot eden najbolj uporabljenih termoplastov, svoje aplikacije najde v avtomobilski industriji, elektroniki, gospodinjskih pripomočkih in aparatih, embalaži in raznih konstrukcijah. Mnoge od naštetih so imajo kratko življenjsko dobo, zato je smiselno odpadni PC reciklirati in ga ponovno uporabiti [1]. Pri vsaki reciklaži se soočamo s problemom poslabšanja lastnosti materiala glede na svež granulat, zaradi tega veliko pozornosti namenjamo ohranjanju oziroma izboljšanju lastnosti sekundarnih materialov. Pri mehanski reciklaži polimerov največji izziv predstavlja degradacija materiala med samo predelavo, predvsem zaradi krajšanja polimernih verig. Podaljševaljci verig (ang. chain extenders – CE) so dodatki, ki krajšanje preprečujejo oziroma omogočajo reakcije med skrajšanimi verigami in jih tako ponovno podaljšajo, s čimer lahko vplivamo na izboljšanje lastnosti sekundarnih materialov [2].
2 EKSPERIMENTALNI DEL
Celoten eksperimentalni del smo opravili v laboratorijih Fakultete za tehnologijo polimerov.
2.1 Uporabljeni materiali
Uporabili smo dva tipa PC proizvajalca Covestro, in sicer Makrolon ET3117, ki je po strukturi linearen, in Makrolon ET3137, ki je razvejan. Kot podaljševalec verige smo uporabili komercialno dostopen Joncryl ADR 4368 proizvajalca BASF.
2.2 Priprava vzorcev
Čist material smo desetkrat ekstrudirali na dvopolžnem ekstruderju (LabTech LTE 20-44 s 400 obr./min in temperaturah od 275 °C na šobi do 225 °C pri doziranju), po prvi, tretji, šesti, deveti in deseti predelavi smo pri naslednjem ciklu ekstruzije dodali podaljševalec verig. Nato smo na brizgalnem stroju (Krauss Maffei 50-180CX) iz pripravljenih granulatov (slika 1) nabrizgali epruvete za karakterizacijo mehanskih lastnosti linearnega in razvejanega PC (slika 2) po drugi, četrti, sedmi, deseti in enajsti predelavi, brez in s podaljševalcem verig. Brizgali smo s temperaturo grelcev 275 °C, protitlakom 150 bar, obrati plastificiranja 80 obr./min, hitrostjo brizganja 100 mm/s in temperaturo orodja 80 °C. Material smo pred vsako predelavo skladno z navodili proizvajalca posušili pod vsebnost vlage 0,02 %.
Slika 1: Granulat brez predelave (levo) in po 10. predelavi (desno)
2.3 Karakterizacija
Pripravljenim vzorcem smo s pomočjo fotometra (Konica Minolta, ki deluje na princippu LAB barvnega sistema) določili spremembo barve, izmerili indeks tečenja taline (MFI, skladno s standardom ISO 1133 na napravi Dongguan Liyi LYR-RR), izmerili mehanske lastnosti z nateznim preizkusom (skladno z ISO 527 na Shimadzu AG-X plus 10 kN) in Charpyevim preizkusom udarne žilavosti (skladno z ISO 178 na Charpy LY-XJJDS), opravili dinamično mehansko analizo (DMA na Perkin Elmer SMA 8000), določili toplotne lastnosti z dinamično diferenčno kalorimetrijo (DSC na Mettler Toledo DSC 2) in z infrardečo spektroskopijo s Fourierjevo transformacijo (FT-IR na Perkin Elmer Spectrum 65) zasledovali spremembe v kemijskih vezeh.
Slika 2: Nabrizgane epruvete za karakterizacijo linerarnega PC (zgoraj) in razvejanega PC (spodaj)
3 REZULTATI IN DISKUSIJA
Na sliki 3 so predstavljeni rezultati meritev barvnega tona PC v odvisnosti od števila predelav. Ugotovili smo, da med prvima dvema cikloma predelave, spremembo barve s prostim očesom komaj zaznamo, po nadaljnjih ciklih predelave material vse bolj rumeni, do zadnjega cikla predelave, ko je praktično že rjavkaste barve. Glede na meritve, opazimo, da je po večjem številu predelav razvejan tip PC bolj spremenil barvo kot linearen.
Slika 3: Rezultati meritev barvnega tona v odvisnosti od tipa PC
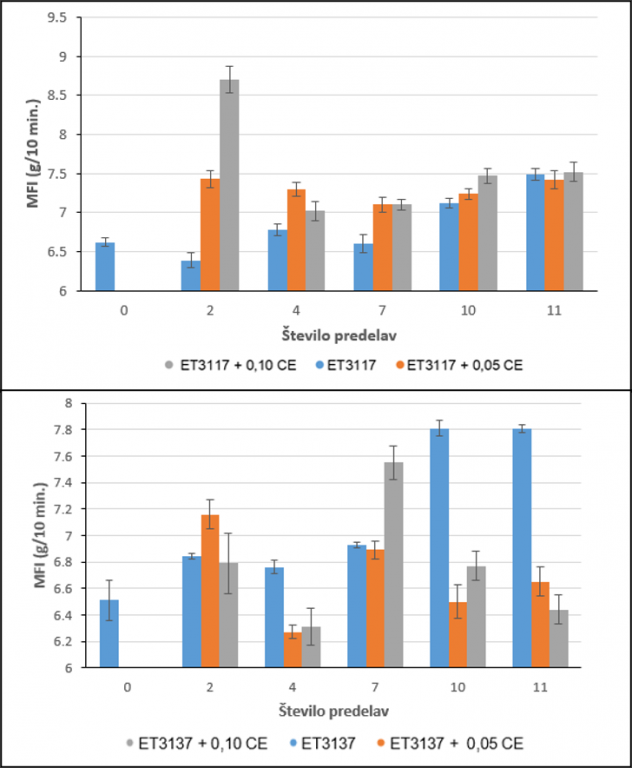
Slika 4 grafično predstavlja izmerjene rezultate indeksa tečenja taline po brizganju materiala. Pri linearnem tipu PC najbolj izstopa naraščanje MFI po drugem ciklu predelave pri vzorcu z 0,1 % podaljševljca verig. V splošnem MFI najprej pade, po nadaljnjih predelavah pa ponovno narašča ne glede na količino dodatka. Pri razvejanem PC brez dodatka MFI s številom predelav narašča. Z dodanim podaljševaljcem verig trenda v odvisnosti od števila predelav ne moremo razbrati, razberemo pa, da po deseti in enajsti predelavi izrazito zniža MFI v primerjavi z materialov brez dodatka.

Slika 4: Rezultati indeksa tečenja taline (MFI)
Na sliki 5 je predstavljen vpliv dodatkov na natezno trdnost PC v odvisnosti od števila predelav. Pri linearnem PC izstopa pozitiven vpliv 0,1 % dodatka podaljševaljca verig po deseti in enajsti predelavi. Pri manjšem številu predelav se kot optimalnejša izkaže nižja koncentracija dodatka, najverjetneje zaradi manj znatne degradacije PC pri nižjem številu predelav. Pri razvejanem PC vpliv dodatka na natezno trdnost ni tako izrazit, prav tako ne nakazuje trenda, razlike med vzorci pa so zelo majhne.

Slika 5: Vpliv ponovne predelave in podaljševalca verig na natezno trdnost
Na sliki 6 je predstavljena odvisnost raztezka pri pretrgu od števila predelav. Ugotovili smo, da obe koncentraciji dodatka, pri obeh tipih PC pozitivno vplivata na raztezek pri pretrgu. Pri linearnem PC z dodatkom raztezek pri pretrgu čistega materiala uspešno ohranimo čez vseh enajst predelav.
Slika 7 predstavlja odvisnost zarezne udarne žilavosti materialov v odvisnosti od števila predelav. Dodatek udarno žilavost linearnega PC nekoliko zniža. Podobno velja za razvejan PC.
Z dinamično mehansko analizo (DMA) smo ugotovili, da s številom ponovnih predelav bistveno ne vplivamo na dinamični modul elastičnosti in faktor izgub, prav tako dodatki na merjene količine ne vplivajo enolično. Rezultati diferenčne dinamične kalorimetrije (DSC) prav tako niso nakazali vpliva predelave in dodatka na temperaturo steklastega prehoda in pripadajoče toplotne kapacitete. Z infardečo spektroskopijo s Fourierjevo transformacijo (FTIR) smo zasledovali degradacijo karbonatne skupine pri valovni dolžini 1769 cm-1, vendar pri nobenem tipu PC nismo zaznali znatnih sprememb v absorbanci pri tej valovni dolžini.

Slika 6: Vpliv ponovne predelave in podaljševalca verig na raztezek pri pretrgu

Slika 7: Vpliv ponovne predelave in podaljševalca verig na zarezno udarno žilavost
4 SKLEP
Na podlagi analize rezultatov opravljenih meritev pri izvedenih ponovnih predelavah oziroma ciklih mehanske reciklaže PC ugotovimo, da materiala nismo znatno degradirali oziroma jima znatno poslabšali mehanske ali termične lastnosti. Vpliv podaljševaljca verig ni enoličen, niti v odvisnosti od števila predelav, kakor tudi koncentracije dodatka. Dodatek je zadovoljivo opravil svojo funkcijo pri raztezku pri pretrgu pri nateznem testu, kjer je raztezek z dodatkom tudi po enajsti predelavi ostal na vrednosti čistega materiala.
Kot že omenjeno, bi najverjetneje bolj enoznačne rezultate dobili v primeru, da bi PC ponovno predelovali pri višjih temperaturah in ga s tem bolj degradirali. Prav tako bi bilo smiselno delo nadaljevati z različnimi koncentracijami dodatka in pa testirati vpliv drugih dodatkov istega tipa.
PC po enajstih ciklih mehanske reciklaže ohrani mehanske in toplotne lastnosti primerljive s čistim materialom. S številom predelav najbolj izstopa sprememba barve materiala. Glede na to lahko zaključimo, da lahko PC večkrat, tudi do enajstkrat, mehansko recikliramo in ponovno uporabimo, predvsem v aplikacijah, kjer barva ni osrednjega pomena.
Viri:
Legrand Donald G., Bendler John T.. Handbook of polycarbonate science and technology. New York: Marcel Dekker, 1999.[2] Villalobos M., Awojulu A., Greeley T., Turco G., Deeter G.. Oligomeric chain extenders for economic reprocessing and recycling of condensation plastics. Energy (2006), vol. 31, no. 15, str. 3227-3234.
Avtorji:
Blaž NARDIN1
Gašper GANTAR2,3
Rebeka LORBER1
1Fakulteta za tehnologijo polimerov
2Visoka šola za varstvo okolja
3Visoka šola za proizvodno inženirstvo



























